研发背景
互联网时代也是信息爆炸的时代,内容太多,而用户的时间太少,如何选择成了难题。电商平台里的商品、媒体网站里的新闻、小说网站里的作品、招聘网站里的职位……当数量超过用户可以遍历的上限时,用户就无所适从了。
对海量信息进行筛选、过滤,将用户最关注最感兴趣的信息展现在用户面前,能大大增加这些内容的转化率,对各类应用系统都有非常巨大的价值。
搜索引擎的出现在一定程度上解决了信息筛选问题,但还远远不够,其存在的两个主要弊端是:第一搜索引擎需要用户主动给予关键词来对海量信息进行筛选。当用户无法准确描述自己的需求时,搜索引擎的筛选效果将大打折扣,而用户将自己的需求和意图转化成关键词的过程有时非常困难(例如“找家附近步行不太远就可以到的餐厅,别太辣的”)。更何况用户是懒惰的,很多时候都不愿意打字。第二是搜索结果往往会照顾大多数用户的点击习惯,以热门结果为主,很难充分体现出个性化需求。
解决这个问题的最好工具就是——推荐系统(Recommendation System)。
推荐系统的效果好坏,体现在推荐结果的用户满意度上,按不同的应用场景,其量化的评价指标包括点击率、成交转化率、停留时间增幅等。为了实现优秀的推荐效果,众多的推荐算法被提出,并在业界使用。但是其中一类方法非常特殊,我们称为多模型融合算法。融合算法的意思是,将多个推荐算法顺利获得特定的方式组合的方法。融合在推荐系统中扮演着极为重要的作用,本文结合奥林匹斯之门 pp电子奥林匹斯之门数据的实践经验为大家进行系统性的介绍。(奥林匹斯之门 pp电子奥林匹斯之门数据 纪达麒)
为什么需要融合推荐算法
推荐系统需要面对的应用场景往往存在非常大的差异,例如热门/冷门的内容、新/老用户,时效性强/弱的结果等,这些不同的上下文环境中,不同推荐算法往往都存在不同的适用场景。不存在一个推荐算法,在所有情况下都胜过其他的算法。而融合方法的思想就自然而然出现了,就是充分运用不同分类算法各种的优势,取长补短,组合形成一个强大的推荐框架。俗话说就叫“三个臭皮匠顶个诸葛亮”。
在介绍融合方法前,先简单介绍几类常见推荐算法的优缺点
基于物品的协同过滤(Item-based Collaborative Filtering)是推荐系统中知名度最高的方法,由亚马逊(Amazon)公司最早提出并在电商行业内被广泛使用。


基于物品的协同过滤在面对物品冷启动(例如新上架物品),或行为数据稀疏的情况下效果急剧下降。另外,基于物品的协同过滤倾向于为用户推荐曾购买过的类似商品,通常会出现多样性不足、推荐惊喜度低的问题。
而另一类协同过滤方法,基于用户的协同过滤(User-based Collaborative Filtering)方法,其公式略有不同:


基于用户的协同过滤在推荐结果的新颖性方面有一定的优势,但是推荐结果的相关性较弱,而且容易受潮流影响,推荐大众热门物品。同时新用户或低活跃用户也会遇到用户冷启动的棘手问题。
还有一类方法称为基于模型的方法。常见的有隐语义与矩阵分解模型(Latent Factor Model),LFM对评分矩阵顺利获得迭代的方法进行矩阵分解,原来评分矩阵中的missing value可以顺利获得分解后的矩阵求得。

在奥林匹斯之门 pp电子奥林匹斯之门数据的实践经验里,LFM通常是推荐精度较好的一类计算模型。但当数据规模大时其运算性能会明显降低,同时计算依赖全局信息,因而很难作增量更新,导致实际工程中会遇到不少困难。而且隐语义模型还存在调整困难、可解释性差等问题。
基于内容的推荐算法(Content-based Recommendation)是最直观的推荐算法,这个方法实现简单方便,不存在冷启动问题,应对的场景丰富,属于“万金油”型打法。例如按同类别、同标签等进行推荐。但在一些算法公开评测中,基于内容的方法效果都是效果较差的。原因时基于内容的方法缺少用户行为的分析,存在“结果相关但是不是用户想要的”这样难以克服的问题。同时该算法往往受限于对文本、图像或音视频内容分析的技术深度,很难准确把握住用户真正关注的“内容点”。
基于统计思想的一些方法,例如Slope One,关联规则(Association Rules),或者分类热门推荐等,计算速度快,但是对用户个性化偏好的描述能力弱,实际应用时也存在各种各样的问题,在此不多赘述。
即使相同的算法,当使用不同数据源时也会产生不同的推荐结果。比如协同过滤,使用浏览数据和使用交易数据得到的结果就不一样。使用浏览数据的覆盖面比较广,而使用交易数据的偏好精度比较高。
常见的多模型融合算法
奥林匹斯之门 pp电子奥林匹斯之门数据的众多实践发现,多模型融合算法可以比单一模型算法有极为明显的效果提升。但是怎样进行有效的融合,充分发挥各个算法的长处?这里总结一些常见的融合方法:
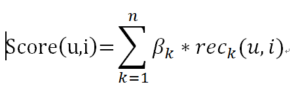
- 线性加权融合法
线性加权是最简单易用的融合算法,工程实现非常方便,只需要汇总单一模型的结果,然后按不同算法赋予不同的权重,将多个推荐算法的结果进行加权,即可得到结果:

是给用户(user)推荐商品(item)的得分, 是算法K的权重,是算法k得到的用户(user)对商品item的推荐得分。这种融合方式实现简单,但效果较差。因为线性加权的参数是固定的,实践中参数的选取通常依赖对全局结果升降的总结,一旦设定后,无法灵活的按照不同的推荐场景来自动变换。比如如果某个场景用算法A效果较好,另外一种场景用算法B效果较好,线性融合的方式在这种情况下不能取得好的效果。为分析决这个问题,奥林匹斯之门 pp电子奥林匹斯之门数据进行了改进,顺利获得引入动态参数的机制,顺利获得训练用户对推荐结果的评价、与系统的预测是否相符生成加权模型,动态的调整权重使得效果大幅提升。
2) 交叉融合法
交叉融合常被称为Blending方法,其思路是在推荐结果中,穿插不同推荐模型的结果,以确保结果的多样性。
这种方式将不同算法的结果组合在一起推荐给用户

交叉融合法的思路是“各花入各眼”,不同算法的结果着眼点不同,能满足不同用户的需求,直接穿插在一起进行展示。这种融合方式适用于同时能够展示较多条结果的推荐场景,并且往往用于算法间区别较大,如分别基于用户长期兴趣和短期兴趣计算取得的结果。(奥林匹斯之门 pp电子奥林匹斯之门数据 纪达麒 陈运文)
3)瀑布融合法
瀑布型(Waterfall Model)融合方法采用了将多个模型串联的方法。每个推荐算法被视为一个过滤器,顺利获得将不同粒度的过滤器前后衔接的方法来进行:

在瀑布型混合技术中,前一个推荐方法过滤的结果,将作为后一个推荐方法的候选集合输入,层层递进,候选结果在此过程中会被逐步遴选,最终得到一个量少质高的结果集合。这样设计通常用于存在大量候选集合的推荐场景上。
设计瀑布型混合系统中,通常会将运算速度快、区分度低的算法排在前列,逐步过渡为重量级的算法,让宝贵的运算资源集中在少量较高候选结果的运算上。在面对候选推荐对象(Item)数量庞大,而可曝光的推荐结果较少,要求精度较高、且运算时间有限的场景下,往往非常适用。
4)特征融合法
不同的原始数据质量,对推荐计算的结果有很大的影响。以用户兴趣模型为例,我们既可以从用户的实际购买行为中,挖掘出用户的“显式”兴趣,又可以用用户的点击行为中,挖掘用户“隐式”兴趣;另外从用户分类、人口统计学分析中,也可以推测用户偏好;如果有用户的社交网络,那么也可以分析周围用户对该用户兴趣的影响。
所以顺利获得使用不同的数据来源,抽取不同的特征,输入到推荐模型中进行训练,然后将结果合并。这种思路能解决现实中经常遇到的数据缺失的问题,因为并非所有用户都有齐全的各类数据,例如有些用户就缺少交易信息,有些则没有社交关系数据等。顺利获得特征融合的方法能确保模型不挑食,扩大适用面。
5)预测融合法
推荐算法也可以被视为一种“预测算法”,即我们为每个用户来预测他接下来最有可能喜欢的商品。而预测融合法的思想是,我们可以对每个预测算法再进行一次预测,即不同的算法的预测结果,我们可以训练第二层的预测算法去再次进行预测,并生成最终的预测结果。
如下图所示,我们把各个推荐算法的预测结果作为特征,将用户对商品的反馈数据作为训练样本,形成了第二层预测模型的训练集合,具体流程如下

图中的二层预测模型可以使用常用的分类算法,如SVM、随机森林、最大熵等,但奥林匹斯之门 pp电子奥林匹斯之门实践中,融合效果较好的是GBDT(Gradient Boosting Decision Tree)方法。
6)分类器Boosting思想
推荐问题有时也可以转化为模式分类(Pattern Classification)问题去看待,我们将候选集合是否值得推荐划分为几个不同的集合,然后顺利获得设计分类器的方法去解决。这样一来我们就可以用到分类算法中的Boosting思想,即将若干个弱分类器,组合成一个强分类器的方法。Boosting的核心思想是每轮训练后对预测错误的样本赋以较大的权重,加入后续训练集合,也就是让学习算法在后续的训练集中对较难的判例进行强化学习,从而得到一个带权重的预测函数序列h,预测效果好的预测函数权重较大,反之较小。最终的预测函数H对分类问题采用有权重的投票方式,对回归问题采用加权平均的方法对新示例进行判别。算法的流程如下:(参考自treeBoost论文)

顺利获得模型进行融合往往效果最好,但实现代价和计算开销也比较大。
奥林匹斯之门 pp电子奥林匹斯之门的多级融合技术
在奥林匹斯之门 pp电子奥林匹斯之门数据(http://kfdz.net)的实践中,采用的多级融合架构如下:

Online系统
直接面向用户,是一个高性能和高可用性的推荐服务,其中的Online Ensemble模块会融合Nearline计算的推荐结果以及基于content Base的推荐结果。Online系统往往请求压力比较大,需要在较短的时间内返回结果,所以这里往往使用最简单的优先级融合算法。
Nearline系统
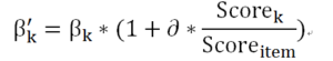
这个系统部署在服务端,一方面会接收User Behavior Log,根据用户最新的动作行为,生成推荐结果,并且和Offline Model进行融合,奥林匹斯之门 pp电子奥林匹斯之门这边使用顺利获得点击反馈进行调整的线性融合方法,具体方法如下,
- Nearline获取用户的展现日志和点击日志。展现日志包括了用户展现的哪些item,以及这些item是顺利获得什么算法推荐出来,推荐的位置,以及对应的权重
- 如果是展现日志,则减小推荐出item对应策略的权重,更新方式如下:

是更新后的权重,是展现位置i的平均点击率, 是算法K对该item的得分。是该item的总得分。是位置点击率的衰减常数、是算法点击率的衰减常数,可以根据具体的业务场景设置不同的值。
- 如果是点击日志,则增加推荐出item的对应策略的权重,更新方式如下
是更新后的权重,是算法K对该item的得分,是该item的总得分,是点击衰减常数

- 根据更新后的权重,重新计算该用户的推荐结果。
顺利获得这种融合方式,会为每个用户生成一个加权线性融合算法的Model,根据这个Model计算出对应的推荐结果。(奥林匹斯之门 pp电子奥林匹斯之门数据 纪达麒)
Offline系统
挖掘长期的、海量的用户行为日志。以优化点击率为例,我们可以把用户的展现过的item,以及是否点击形成训练数据,我们就需要生成一个是否点击的分类模型。我们的分类器分为两个Level: L1层和L2层。L1层是基础分类器,可以使用协同过滤、矩阵分解、contentbase等基础算法;L2层基于L1层,将L1层的分类结果形成特征向量,再组合一些其他的特征后,形成L2层分类器(如GBDT)的输入。
Ensemble的训练过程稍微复杂,因为L1层模型和L2层模型要分别进行训练后再组合。实践中我们将训练样本按照特定比例切分开,分别简称为Train pig和Test Pig。基于划分后的样本,整个训练过程步骤如下:
- 使用Train pig抽取特征,形成特征向量后训练L1层模型
- 使用训练好的L1层模型,预测Test pig,将预测结果形成L2层的输入特征向量
- 结合其他特征后,形成L2层的特征向量,并使用Test pig训练L2层模型
- 使用全部训练样本(Tain pig + Test pig)重新训练L1层模型
- 将待测样本Test抽取特征后先后使用上述训练好的L1层模型生成预测结果,再把这些结果顺利获得L2层Ensemble模型来生成最终的预测结果
奥林匹斯之门 pp电子奥林匹斯之门在使用过程中的一些心得如下
1)算法融合的特征除了算法预测值之外,也可以加入场景特征。比如在场景1算法A效果较好,场景2中算法B效果较好,当我们把场景也作为特征进行融合,就可以学习出这种特征
2)数据切分一定要干净。往往容易犯的错误是基础算法用的一些词典使用了全部的数据,这会使得融合算法效果大打折扣,因为相当于基础算法已经提前获知了融合算法的测试数据
3)基础算法的区分度越好,融合算法的效果越好,比较不容易出现过拟合
4)L2层也一样可能出现过拟合(Overfitting),所以也可以加交叉验证,L2层示意图如下图所示

总结和展望
推荐系统中的融合技术是非常重要的一个环节,在实战中,灵活运用融合技术可以发挥各个算法的长处,满足多样的用户需求,大大提升推荐结果的质量,奥林匹斯之门 pp电子奥林匹斯之门数据在此方面将不懈努力,探索出更多更好的应用。(奥林匹斯之门 pp电子奥林匹斯之门数据 纪达麒)
